I numeri irrazionali
Un numero irrazionale è un numero reale non razionale, cioè non esprimibile come rapporto di due numeri interi; ha infinite cifre decimali che si susseguono senza alcuna regolarità. L'introduzione di questi numeri nel panorama matematico è iniziata con la scoperta da parte dei greci delle grandezze incommensurabili, ossia prive di un sottomultiplo comune. I numeri irrazionali si distinguono in algebrici, se sono soluzioni di equazioni algebriche, come la radice quadrata di 2 che è soluzione dell'equazione x2=2, e trascendenti come π ed e. L’insieme dei numeri irrazionali vengono indicati col simbolo I.
Cenni storici
La scoperta dei numeri irrazionali viene tradizionalmente attribuita a Pitagora, o più precisamente al pitagorico Ippaso di Metaponto, che argomentò (probabilmente con considerazioni geometriche) l'irrazionalità della radice quadrata di 2. Secondo la tradizione Ippaso scoprì i numeri irrazionali mentre tentava di rappresentare la radice quadrata di 2 come frazione. Tuttavia Pitagora credeva nell'assolutezza dei numeri, e non poteva accettare l'esistenza dei numeri irrazionali, chiamati alagon, cioè inesprimibili, indicibili. Pitagora non era in grado di negare la loro esistenza con la logica, ma le sue credenze non potevano tollerarne l'esistenza e, secondo una leggenda, per questo condannò Ippaso a morire annegato.
L’esistenza di grandezze incommensurabili mise in evidenza come addirittura all’interno della geometria stessa i numeri interi ed i loro rapporti non erano in grado di spiegare neppure semplici proprietà fondamentali. Euclide (IV secolo a.C. – III secolo a.C) nei libri X e XI degli “Elementi” enuncia numerose proposizioni che si possono considerare come l’equivalente geometrico di proprietà dei numeri irrazionali, ma non ammise l’esistenza di un insieme numerico più ampio di quello dei numeri razionali; anzi affermò che le grandezze incommensurabili “non si lasciano misurare”. Platone (Atene, 428/427 a.C. – Atene, 348/347 a.C.), nel dialogo Teeteto, parla di radice di 2 come come di un numero non rappresentabile come rapporto e usa il termine irrazionale.
Per pensatori greci l’infinito non era un problema, perché accettavano il concetto (senza specificarlo troppo bene), ma lo consideravano come un attributo negativo per indicare ciò che non si poteva dire, un qualcosa di caratteristico dell’irrazionale. Quindi in aritmetica e geometria erano vietati concetti e dimostrazioni che non potevano essere descritti in termini finiti e precisi. Ma Archimede (Siracusa, 287 a.C. circa – Siracusa, 212 a.C.), con il metodo di esaustione (che descriveremo in seguito) per il calcolo della lunghezza di una circonferenza, usa una prima applicazione matematica del concetto di infinito, legata al moderno concetto di limite.
Per molto tempo i numeri irrazionali vennero evitati e sostituiti con numeri razionali approssimati per difetto o per eccesso.
Cartesio (La Haye en Touraine,oggi Descartes, 31 marzo 1596 – Stoccolma, 11 febbraio 1650), con l’introduzione della geometria analitica collega l’algebra e la geometria rappresentando il rapporto di due segmenti con una lettera con la quale si opera “come sui numeri”. Nel XVI secolo si diffuse l’uso dei numeri negativi, interi e frazionari, nel XVII secolo, l'uso sempre più frequente delle frazioni decimali con la notazione moderna.
La nozione di numero reale nacque dopo la scoperta del calcolo infinitesimale per opera di Leibnitz (Lipsia, 1 luglio 1646 – Hannover, 14 novembre 1716) e Newton (Woolsthorpe-by-Colsterworth, 25 dicembre 1642– Londra, 20 marzo 1727). Le frazioni continue (che descriveremo in seguito), strettamente collegate ai numeri irrazionali, furono prese in considerazione da parte di Eulero (Basilea, 15 aprile 1707 – San Pietroburgo, 18 settembre 1783).
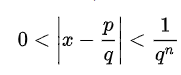
Nel 1761 Lambert provò che π non può essere razionale, ma l'esistenza di numeri trascendenti fu per la prima volta stabilita da Joseph Liouville (Saint-Omer, 24 marzo 1809 – Parigi, 8 settembre 1882) che definì alcuni numeri reali che possono essere approssimati con una successione di numeri razionali: un numero x è di Liouville se per ogni numero intero positivo n esistono degli interi p e q con q > 1 tali che

Nel 1844 dimostrò che i numeri che oggi portano il suo nome sono non solo irrazionali, ma anche trascendenti.
Un particolare numero di Liouville è la cosiddetta costante di Liouville. Essa è definita come il numero decimale con cifra decimale 1 in posizione occupata da n! e 0 altrove:

|
0, |
1 |
1 |
0 |
0 |
0 |
1 |
0 |
0 |
0 |
0 |
0 |
0 |
0 |
0 |
0 |
0 |
0 |
0 |
0 |
0 |
0 |
0 |
0 |
1 |
0 |
.. |
|
Posizione |
1=1! |
2=2! |
3 |
4 |
5 |
6=3! |
7 |
8 |
9 |
10 |
11 |
12 |
13 |
14 |
15 |
16 |
17 |
18 |
19 |
20 |
21 |
22 |
23 |
24=4! |
25 |
.. |
Intorno al 1870 vennero dati decisivi contributi da parte di cinque matematici: il francese Méray, i tedeschi Weierstrass, Heine, Cantor, Dedekind. Le loro opere rappresentano la conclusione di mezzo secolo di ricerche sulla natura dei numeri. Nel 1873 Charles Hermite provò per primo la trascendenza di e.
Georg Cantor (San Pietroburgo, 3 marzo 1845 – Halle, 6 gennaio 1918) definì i numeri irrazionali come successioni convergenti di numeri razionali che non convergevano a nessun numero razionale. Affermò che ci sono almeno due modi diversi di essere infiniti, quella dei naturali (uguale a quella degli interi, dei razionali che possono essere posti in corrispondenza biunivoca con questi) e quella dei reali (e di ogni intervallo o semiretta di R). Questo risultato era quasi scandaloso nel contesto storico del periodo: Gauss pochi anni prima aveva affermato il divieto di trattare l'infinito attuale in Matematica.
L’opera di Cantor fu molto contrastata da Leopold Kronecker (Legnica, 7 dicembre 1823 – Berlino, 29 dicembre 1891), che era stato un suo insegnante a Berlino, che affermò: “Dio ha creato i numeri interi, tutto il resto è opera dell’uomo”, esprimendo la sua convinzione che fosse corretto studiare la Matematica utilizzando solo i numeri interi.
D’altra parte Hilbert (1862-1924) dirà poi: “Nessuno riuscirà a cacciarci dal Paradiso che Cantor ha creato per noi”.
Nel 1874, durante una vancaza a Interlaken, Cantor aveva incontrato Dedekind con il quale iniziò un lungo rapporto di collaborazione e amicizia che portò Dedekind a prendere le parti di Cantor nello scontro “filosofico” con Kronecker sui numeri transfiniti. Dedekind (Braunschweig, 6 ottobre 1831 – Braunschweig, 12 febbraio 1916) parte dell’osservazione che l’insieme dei numeri razionali è denso, (sulla retta tra due numeri razionali ce n’è sempre un altro, ad esempio la media dei due, e quindi ce ne sono infiniti, quindi non è possibile stabilire qual è il numero razionale immediatamente successivo a ad uno dato) ma non riempie tutta la retta:

Al punto P con OP congruente all’ipotenusa di un triangolo rettangolo isoscele con cateti di lunghezza 1 non corrisponde alcun numero razionale.
Dedekind si chiese quindi che cosa caratterizzasse il continuo rispetto ai razionali e come introdurre i numeri mancanti, necessari per stabilire una corrispondenza biunivoca con la retta. Risolse il problema con la definizione dei numeri irrazionali attraverso il concetto di sezione.
I numeri irrazionali algebrici
Un numero irrazionale si dice algebrico se è soluzione di un’equazione polinomiale, come ad esempio √2 che è soluzione dell'equazione x2=2
Irrazionalità della radice quadrata di 2
Una dimostrazione dell'irrazionalità della radice quadrata procede per assurdo: la proposizione è provata assumendo vero l'opposto e mostrando che ciò porta ad un assurdo, questo implica che la proposizione iniziale debba essere vera.
Supponiamo che √2 sia un numero razionale. Ciò comporta che esistono due numeri interi a e b privi di fattori comuni tali che
Elevando al quadrato si ha
Questo implica che a² è pari, e che quindi a è pari, ossia esiste k intero tale che a=2k. Sostituendo si ha:
cioè anche b è pari, e quindi a e b hanno in comune un fattore 2, il che è impossibile perché erano stati assunti privi di fattori comuni.
Poiché si ottiene una contraddizione con l'assunzione che √2 fosse un numero razionale, essa deve essere falsa. Dunque è stato dimostrato l'opposto, cioè che √2 è irrazionale.
Questa dimostrazione si può generalizzare per dimostrare che qualunque radice di qualunque numero naturale è un numero naturale o un numero irrazionale.
I numeri trascendenti
Un numero trascendente è un numero irrazionale (in quanto non può essere rappresentato come rapporto tra due numeri interi) e non algebrico, ovvero non è soluzione di alcuna equazione polinomiale.
L'insieme dei numeri trascendenti non è chiuso rispetto all'addizione e alla moltiplicazione; infatti se a è un numero trascendente, anche il suo opposto, −a, lo è, ma la loro somma, che è 0, è un numero algebrico. Analogamente considerando il reciproco per la moltiplicazione.
Dimostrare che un dato numero è trascendente può essere molto difficile. Con la scoperta dei numeri trascendenti ci si rese conto dell’impossibilità di alcuni antichi problemi geometrici riguardanti la quadratura del cerchio. Questo problema consisterebbe nella costruzione di un quadrato ed un cerchio aventi la stessa area solo con l’aiuto di riga e compasso.
Esempi di numeri trascendenti
- il numero di Eulero e, il cui valore approssimato è 2,7182818284…
- pi greco p, rapporto tra la lunghezza della circonferenza e il suo diametro
- i numeri di Liouville, di cui si è parlato parlato prima
- qualsiasi potenza con base numero irrazionale ed esponente razionale o irrazionale
- qualsiasi potenza con base numero razionale positivo diverso da 1 ed esponente numero irrazionale
- sina, cosa, tana, cotana,seca, coseca, ossia funzioni goniometriche con l’argomento a non multiplo di p/2
- lna, il logaritmo in base naturale di a, con “a” un numero razionale positivo diverso da 1
Irrazionalità dei logaritmi
Numeri di cui si dimostra facilmente l'irrazionalità sono i logaritmi con base ed argomento interi positivi, tali che esista un numero primo che divida la base ma non l'argomento (o viceversa).
Per la dimostrazione si procede per assurdo:
si assume il logaritmo uguale ad un numero razionale:
Per la definizione di logaritmo si ha:
ovvero, elevando alla n entrambi i membri
am=an
Se ora ad esempio il numero primo “p” divide “a” ma non “b”, allora divide am ma non bn, e quindi i due numeri non possono essere uguali, e il logaritmo non è razionale.
Il numero “e”
Il numero e, detto numero di Eulero, è un numero irrazionale trascendente, il cui valore è approssimativamente e=2.7182818284. Insieme al numero p è la costante matematica più importante, per via della sua presenza in molte formule. È la base della funzione esponenziale y=ex e del logaritmo naturale lnx. Può essere definita in vari modi, il più comune tra i quali è come il limite della successione
al tendere di n all'infinito. (Cliccare su Avvia Calcolo o muovere lo slider per calcolare i primi cento termini della successione che converge ad e).
Si può utilizzare la seguente filastrocca per ricordare un buon numero di cifre di e:
Ai modesti e vanitosi,
ai violenti e timorosi
do cantando gaio ritmo
logaritmo
Se contiamo le lettere di ogni parola e le affianchiamo come cifre, otterremo una buona approssimazione del numero di Eulero: 2.718281829.
Storia
Le prime tracce della costante e e di un suo utilizzo numerico approssimato risalgono addirittura alle antiche civiltà egizie e greche, nella costruzione delle piramidi e del Partenone. La storia del numero e risulta legata a quella dei logaritmi e quindi a John Napier (vedi capitolo sulla storia dei logaritmi) tanto che viene anche citato come «numero di Nepero» (nome italianizzato del matematico scozzese).
Si trova per la prima volta il numero 2,71828… (indicato però con la lettera b) in due lettere di Leibniz a Huygens del 1690 e del 1691. La lettera e fa finalmente la sua comparsa nel 1727 nel volume “Mechanica” del matematico svizzero Eulero: qui la lettera “e” sta forse per esponenziale oppure è semplicemente usata perché le precedenti lettere dell’alfabeto a, b, … erano state già impiegate. Sempre in Eulero si trova la descrizione di un semplice modello finanziario che assegna a un numero “e” un preciso significato economico (vedi anche in Crescita esponenziale Matematica finanziaria). Se si indica con “C” il capitale iniziale dei 400.000 fiorini di cui parla Eulero e con “i” l’interesse annuo, nel suo esempio, i=5%, gli interessi maturati alla fine di un anno portano al capitale “C1” così calcolabile:
Se il calcolo degli interessi avvenisse semestralmente, alla fine del primo semestre, con un interesse del 2,5% il capitale sarebbe uguale a
per poi diventare alla fine dell’anno, indicando con “C2“ tale capitale:
Se gli interessi venissero computati “n” volte in un anno, ripetendo il ragionamento seguito per il calcolo semestrale degli interessi, alla fine il capitale sarebbe:
cioè
Per n→∞, cioè se il calcolo degli interessi fosse effettuato innumerevoli volte e al limite in modo continuo, la precedente espressione tenderebbe a diventare:
Il numero “e” compare dunque in modo naturale, sia pure attraverso un passaggio al limite, considerando un capitale di 400.000 fiorini. In particolare, se nell’uguaglianza:
si pone C = i = 1 si ottiene:
Il numero e fornisce pertanto il capitale maturato alla fine dell’anno con un investimento iniziale unitario (C = 1, cioè un’unità monetaria, euro o fiorino che fosse) e con una capitalizzazione continua che preveda un tasso di interesse annuo del 100% (i = 1).
Formula di Eulero
La costante e compare nella formula di Eulero, una delle più importanti identità della matematica:
dove “i” indica l'unità immaginaria. Il caso particolare con x=p è noto come identità di Eulero:
Algoritmi per il calcolo delle cifre decimali di numeri irrazionali
Pi greco
Il pi greco rappresenta una costante matematica definita come il rapporto tra la lunghezza di una circonferenza e quella del suo diametro che presenta molteplici applicazioni in aritmetica e geometria. Il suo simbolo è p, è un numero irrazionale trascendente, conosciuto anche come costante di Archimede o costante di Ludolph (Hildesheim, 28 gennaio 1540 – Leida, 31 dicembre 1610), matematico che ha dedicato molti anni della sua vita al calcolo di cifre decimali di pi greco. Usando essenzialmente l'algoritmo utilizzato da Archimede per approssimare la circonferenza con dei poligoni regolari, trovò 35 cifre decimali:
3.14159265358979323846264338327950288...
Fu così orgoglioso di questo risultato che volle che fosse inciso sulla sua pietra tombale. Essa fu persa ma nel 2000 fu ritrovata.
Nel corso della storia è stato reso necessario conoscere quanto più precisamente possibile il valore di pi greco, in modo da rendere accurati i calcoli geometrici che ne derivano dalla sua applicazione. È stato perciò necessario elaborare degli algoritmi la cui applicazione permettesse un calcolo quanto si voglia preciso delle cifre decimali del pi greco.
Nei tempi antichi si credeva che il valore di pi greco fosse un numero ben stabilito e razionale. I primi a dare un valore a questa costante furono i Mesopotamici considerandolo uguale a 3. Successivamente i Babilonesi per il calcolo della circonferenza inscritta in un esagono regolare eguagliavano questa costante a 3+1/8, quindi a 3,125. Gli Egizi invece per il calcolo dell’area del cerchio usavano la formula A=(8/9 d)2 considerando quindi
Il primo a comprendere che pi greco non è un numero razionale fu Archimede che riuscì tramite il metodo di esaustione, calcolando il rapporto tra perimetro di poligoni regolari con numero sempre maggiore di lati e diametro delle circonferenze circoscritte, a calcolare un intervallo in cui è compreso p. Per far ciò calcolò la misura del perimetro di poligoni fino a 96 lati inscritti e circoscritti a una stessa circonferenza concludendo che p è compreso tra 223/71 e 22/7.
Da Archimede fino alla modernità sono stati scoperti molteplici metodi per il calcolo delle cifre decimali di pi greco.
Essendo un numero irrazionale π non può essere rappresentato come frazione di due numeri interi, ma può essere presentato come frazione continua, permettendone anche un calcolo approssimato.
Due esempi di questa rappresentazione sono i seguenti:
Essendo un numero trascendente non esistono nemmeno espressioni finite che permettano il suo calcolo, ma esistono metodi per il suo calcolo quanto si voglia approssimato.
Per calcoli veloci la formula più usata è la formula di Machin, che utilizza la funzione arcotangente.
Altri algoritmi sono:
- la formula di Newton:
dove !! indica il semifattoriale, definito per ogni numero naturale pari p come prodotto di tutti i numeri pari compesi tra 2 e p e analogamente per ogni numero naturale dispari d come prodotto di tutti i numeri dispari compesi tra 1 e d. Si definisce infine 0!!=1
- il prodotto infinito di Wallis:
- la formula di Viète:
Un algoritmo per il calcolo delle cifre decimali delle radici quadrate
Per calcolare la radice quadrata di un numero reale a positivo, si può determinare il lato di un quadrato che abbia area a. Per far questo consideriamo un rettangolo di dimensioni x0 ed a/x0, di area quindi uguale ad a. Facendo la media aritmetica tra x0 ed a/x0 si ottiene un valore x1 che è compreso tra questi stessi valori. Mettendo ora al posto della x0 tale media aritmetica e costruendo quindi il rettangolo di dimensioni x1 ed a/x1 l'area del rettangolo è sempre a ma la differenza delle dimensioni sarà diminuita e iterando lo stesso ragionamento ai successivi rettangoli ottenuti, il generico rettangolo tenderà a diventare il quadrato di lato di misura la radice da a cercata cioè la media delle dimensioni tenderà alla radice quadrata di a.
La successione che converge a √a può essere definita per ricorsione:
Questo articolo è sotto la licenza Licenza Creative Commons Attribution Non-commercial No Derivatives 3.0