5. Iperbole
Si chiama iperbole l’insieme dei punti del piano tali che la differenza delle distanze da due punti fissi detti fuochi è costante.
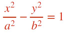
L’equazione dell’iperbole in forma canonica
Per determinare l'equazione dell'iperbole consideriamo un punto generico P(x,y) e imponiamo che la differenza delle distanze di P dai due punti fissi F1=(-f,0) e F2=(f,0), posti sull’asse delle ascisse, sia uguale a 2a (a>0), e procedendo in modo analogo a quanto fatto per l’ellisse si ottiene:
Ponendo poi f2-a2=b2, (possibile perchè f>a) e dividendo entrambi i membri per a2b2 si ottiene l’equazione dell’iperbole
I vertici sono V1=(a,0) e V2=(-a,0) e gli asintoti hanno equazione
Se i fuochi sono sull'asse y si può dimostrare in modo analogo che l'equazione è oppure
I vertici sono V1=(0,b) e V2=(0,-b) e gli asintoti hanno equazione
Se a=b l’iperbole è equilatera, cioè gli asintoti sono perpendicolari e coincidono con le bisettrici dei quadranti. L’equazione in questo caso è x2-y2=a2 .
Questo articolo è sotto la licenza Licenza Creative Commons Attribution Non-commercial Share Alike 3.0