4. Ellisse
<
.video { position: relative; padding-top: 30px; padding-bottom: 56.25%; height: 0; overflow: hidden; }
Si chiama ellisse l’insieme dei punti del piano tali che la somma delle distanze da due punti fissi detti fuochi è costante.
Vediamo come i giardinieri creano aiuole a forma di un’ellisse.

Costruzione di un’ellisse con il metodo del giardiniere. (cliccare sull’immagine per vedere il video)
L’equazione dell’ellisse in forma canonica
Si vuole determinare l’equazione dell’ellisse avente centro nell’origine O del sistema di riferimento e fuochi simmetrici rispetto all’origine e su uno dei due assi cartesiani.
Considerati i due fuochi sull’asse delle ascisse nei punti di coordinate F1=(-f,0) e F2=(f,0), indichiamo con 2a (a>f) la somma delle distanze del punto dell’ellisse dai due fuochi. Allora
P∈ Ellisse ⇔ distanza(P, F1) + distanza(P, F2) = 2a
quindi, utilizzando la formula della distanza tra due punti nel piano, si ha
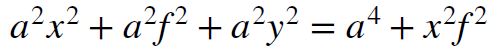
Elevando entrambi i membri al quadrato, sviluppando i quadrati di binomi, sommando i termini simili e dividendo per 4 entrambi i membri si ottiene
Elevando nuovamente e svolgendo quadrati e prodotti e riducendo si ha
Ponendo poi a2-f2=b2, (possibile perchè a>f) e dividendo entrambi i membri per a2b2 si ottiene l’equazione cercata dell’ellisse
I vertici sono i punti di coordinate V1=(a,0) V2=(0,b) V3=(-a,0) V4=(0,-b).
Se a>b i fuochi sono sull’asse x. Se a<b i fuochi sono sull’asse y, ma l’equazione dell’ellisse e le coordinate dei vertici non cambiano.
Ellisse con a<b
Se a=b è una circonferenza con centro nell’origine e raggio r=a=b.
Questo articolo è sotto la licenza Licenza Creative Commons Attribution Non-commercial Share Alike 3.0